Dispersion
free wave packets
Gerard
Westendorp, 2020
Other
stuff by me.
The history of physics is something of a battle between the particle
view and the wave view of nature. Quantum mechanics has not given us a
winner, but rather gave us the puzzle of understanding how something
can be be a particle and a wave at
the same time.
Wave packets might be direction to look. They are solutions to a wave
equation that look quite a lot like particles. Rather like a "pulse",
they propagate through space in a straight line, and stay more or less
localized. Unfortunately, they usually have dispersion:
they tend to spread out over time.
I was surprised when I saw a 2008
article
by Shaun.N Mosley, in which he
describes dispersion free wave packet solutions to the
Schrödinger equation. I did not immediately understand the
article, but I think I get it now. This web page explains the idea in
an informal way, with pictures. Also, I can show that the
idea can be applied to just about any wave function, in any number of
dimensions, except in 1 dimension.
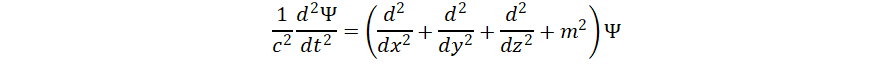
Wave equations come in shapes and sizes, but if they are linear, they
have sine-wave solutions, which need to satisfy a dispersion relation.
Typically, you have:

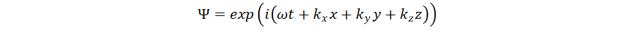
Substitute a wave:

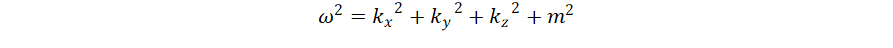
This leads to the dispersion
relation, which must be
satisfied in order for the sine wave to be a solution:

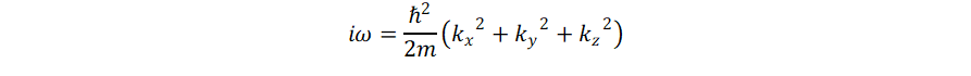
In quantum
mechanics m
is interpreted as the mass of the particle. It is this
parameter that
is the cause of dispersion.
You need to have
for no
dispersion. If the wave equation
describes a massless particle, then there is no dispersion. So the
Maxwell equations, which describe light, radio waves etc, have no
dispersion. Neither does sound in air. This makes these waves suitable
for communicating across distances. But try sending a message across a
lake using water waves...
Another way to see dispersion is that waves of different waves
travel at
different speeds. So a superposition that has a desirable shape at t=0,
will deform over time.
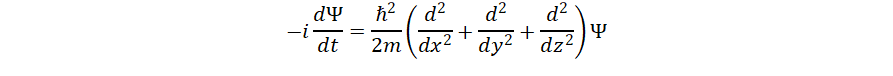
The Schrödinger equation, which is actually a non-relativistic
approximation of the Klein Gordon equation, looks a bit different:

But that does not matter much here; it has sine wave solutions, and a
dispersion relation:

This time there is dispersion because it is first order in time, rather
than
second order as most of the other wave equations.
Once you have the wave solutions, you can construct other solutions by superposition
(adding together). That is the big benefit of a linear equation. In
fact, what is meant by "linear" in physics is just that.
OK, so if solutions of the Schrödinger equation with no
dispersion exist, why are they so badly known? One reason is that they
don't exist in 1 dimension of space. For a given frequency, there is
just (up to a minus sign) only one solution. If you want to make a
wave-packet by superposition, you will need other wave-lengths, which
will travel at a different speed: dispersion.
A seeming show-stopper is the uncertainty
principle: if you make a
compact shape in space, you have a
small uncertainty of position, and therefor a large uncertainty in
momentum. These different momentum solutions will always disperse...
(or will they?)
But in 2 dimensions and higher, a new feature arises which allows a
trick that has perhaps
been overlooked in many books and other treatises.
We have:

The trick is, you can not change the magnitude
|k|
of the wave equation, but
you can change the direction
(ratio's of kx,ky,kz).
In this case, the uncertainty in the magnitude of the momentum
(=wavenumber) is zero, but because of the large uncertainty in the
direction of the wave number vector, we actually have a sizable
uncertainty in momentum in any specific direction, while all waves have
the same eigenfrequency.
In the animation below, I successively add waves of the same wavenumber
magnitude, and therefor with the same propagation speed, but of
different direction. This builds a shape, which tends to a so-called
Bessel function of order zero as we add all directions.
In 3D, this would give a "spherical Bessel function of order zero",
which is what Mosley found in his article. But we can now easily see it
works also for 2D, and for any linear wave function! This shape in
space has a one precise frequency, so its amplitude will remain
constant in time, (it is an eigenfunction of the Hamiltonian) just the
phase will oscillate.
The Klein Gordon equation is relativistic, so we can build
a moving wave-packet from a Lorentz-transformation of the
stationary solution. Below is a train of the resulting dispersion free
wave packets.
You can see the interference pattern slightly changes in the animation,
because I made it from a superposition of 6 wave packets, to roughly
imitate an infinite train of wave packets.

There is one caveat I thought of:
The expectation value for finding the particle at a distance,
integrated across all directions, is still uniform. The in 2D, the
squared amplitude decays as 1/r, but 2D space also gets bigger with
distance (r).