RSA cryptography and how Quantum Computers could crack it.

Gerard Westendorp
june 2018
Other stuff by me.

 RSA encryption is probably the most famous and widely used encryption method in the world. It is named after Rivest, Shamir and Adleman. In 1977, these authors wrote to Scientific American columnist Martin Gardner, who put it in his legendary "Mathematical Games" column. It was then called "Trapdoor ciphers". Next, the NSA tried to stop further publication, which was of course hopeless, due to the popularity of Martin Gardner's column.
One reason Quantum computers are fascinating is, as Scott Aaronson puts it: They offer the clearest language to study the strange nature of quantum mechanics.
The interest in quantum computers got a big boost when Peter Shor discovered that Quantum computers could crack RSA, using 'Shor's algorithm!
It took me a while to understand this. There are already quite a few other websites explaining it, but anyway, here is my version.

So how does RSA work?

To start with an example, below is a table of numbers. The numbers are powers of the first row, modulo 11. It is not too hard to make in a spreadsheet, on the right side is the only formula I entered to generate it.
An easy way to understand modulo arithmetic is to start with modulo 10. Modulo 10 means looking only at the last digit of the number in our usual base 10 notation, and simply throwing away the rest. So for example 9 * 9 = 1 in modulo 10.
Modulo 11 is the same idea, you throw away multiples of 11 until you are left with a number less than 11.
 
Exponentiation mod 11  Exponentiation mod 11
To hammer this in, it will help to check some table entries by hand, you will get the idea.
You could use this table for encryption: 1. You encode your message as a series of numbers from 0-11. (Normally you would use a number much larger than 11, so you could use blocks of ASCII)
2. Raise each number to a power mod 11, in our example to the power of 3.
You have finished encrypting!
It might even be a reasonable way to encrypt, as long as you don't tell anyone except yourself and the receiver how it works.
To decrypt, we can use the fact the the table is periodic. In our modulo 11 example, we notice that after raising to the 10th power, we are back to the original number.
So the inverse of raising to the power of 3 modulo 11, is to continue power raising another 7 rows.
In fact, this works modulo any prime (p): The period is (p-1). For example, here is modulo 7.
 
Exponentiation mod 7
 That was discovered by Fermat, famous for his 'Last Theorem'.
Side note 1: These tables make it hard for integers to defy Fermats Last Theorem. For example, the 3rd powers modulo 7 are always 0, 1 or 6. That means that at least one of the integers in a3+b3=c3 must divide 7!. I once tried to prove Fermats Last theorem by combinations of these constructions.
Side note 2: This can be used to check that a number is prime reasonably fast!
Compared to the full RSA encryption, this method has the drawback that once you tell the encrypter how to do it, he will be able to decrypt as well as you can.
But to get RSA encryption, we go one step further.
Below is a table modulo 15. 15 is a product of 2 primes, 5*3. The period is now 4, as we see in the table below.
 
Exponentiation mod 15
Why is the period 4? Well, 4 is the lowest common multiple of (5-1) and (3-1). It turns out that this is the general rule for the period of any such table. (I 'm skipping the proof, but you will find that on other sites if you are interested)
And now we can do something cool.
We take to large primes, p and q, we multiply them together, N = p*q. Then, we tell anyone in the world our Public Key. That is, the number N, and a power that we choose to exponentiate to. So anyone with that information can encrypt stuff, but decrypting it is very hard for anyone except us. Because only we know that N = p*q, the "Private Key"
Huh?
Well, because we know N = p*q we can figure out the period of exponentiation modulo N, so we can invert the encryption. The period will be a large number. But for a known power, you can go up very fast, for example by repeated squaring.
What if you don't know that N = p*q?
Well, you could try finding the period by exponentiating some number, say 3, modulo N many times until finally, you get back to 3. But, N is very large, and you cannot use the repeated squaring trick that the owner of the key can, because you might just be skipping your needle in the haystack.
This is RSA encryption!
And you can also do something else, called a digital signature. You could ask someone with the private key to inverse-encrypt a message, and then you could verify with your public key, by re-encrypting it, that the other side actually has the private key, without him revealing the private key.
 

Enter quantum computers

My favorite way to understand physics is to make a computer simulation of it. But quantum mechanics is hard to model on a computer. One problem is that the state of a quantum system is often understood as a superposition of many classical states, so the number of variables you need to keep track of gets huge.
From this came the idea of turning it around: what if a quantum system could operate as a computer? Would that perhaps yield an incredibly powerful computer?
Well, superficially it may seem that although yes, quantum computers seem to work like many classical computers in parallel, but when you actually ask for the output, the superposition 'collapses', you get one particular realization, that looks just like an ordinary classical computer. So do these superpositions really exist? Till now, it looks like some experiments just cannot be explained unless the answer is yes. This is the central strangeness of Quantum mechanics, Schrodinger's cat, entanglement, EPR, etc. Physics has been debating this for a century. And now quantum computers actually propose to use this strangeness.
The thing is, before a quantum superposition collapses by a measurement, the terms of the superpositions can interfere, and cause some outcomes to be more likely than others. That is what Shor's algorithm utilizes.
 An important point is perhaps "Forget about qubits!" Sometimes quantum computers are introduced by replacing the idea of "bits" by "qubits", which can be in a superposition of 1 and 0. But, when you perform operations on qubits, the correct mathematical description of the outcome should be interpreted as "a quantum superposition of classical computers" rather than "a computer of quantum superpositions of bits (Qubits)". For example, the no-cloning theorem says that you cannot copy a qubit. However, a quantum computer can do copy: When it copies a qubit, you do not get a copy of the qubit, but a superposition of 2 computers, one of which copied a "1" , the other a "0".
The problem is, a superposition of M-bit computers has 2M terms in the superposition! Hard to model.
But apart from that, the interpretation of a quantum computer as a superposition of classical computers does have a conceptual advantage: classical computers are a lot easier to understand, and each term in the superpositions is simply doing the same thing as a classical computer. The strangeness is actually postponed to the "measurement". The word "measurement" here is used in a broad sense: It means that the universe has entered into a state in which the quantum system under consideration can no longer be seen as isolated, but has shared its information with the rest of the universe. Using other terminology, the system and the universe have become "entangled". Of course, they always had been entangled, but after the measurement, the concept of ideal separation can no longer be applied as a good approximation.

So how does Shor's algorithm work?

We do not need to actually factor N, but it turns out Shor's algorithm allows us to go straight to finding the period. (Although after finding the period, we will have done most of the work for factoring)
We want to find the period of a column (j) in our table. It does not really matter which j, but not one that is divisible by p or q. We let the quantum computer calculate k = jx mod N. ie a cell in our table, column and row x. The bits of x have been put in a superposition using a Hadamard gate for each bit. In other words, we are computing column of our table, with each cell being computed by a term in the superposition of classical computers. Oh yes, and we take at least twice the number of bits in x, so that we get lots of periods in our column. Define Q as the oversized version of N.

Then, we measure k, without looking at x.
Because of this measurement, all values of x that did not produce k are suddenly zapped out of the universe. (Thats not me trying to be funny, it is how nature really seems to work!). But x is still in a remnant superposition, because the possible values of x are periodic with the very period we are trying to find. If only we could do some kind of Fourier transform of these superpositioned values of x...then we would know the period. (The picture at the bottom tries to illustrate the idea)
But as I explained above, each term of the superposition in the quantum computer is just a classical computer, which would just have one x. So it would not seem to make sense to compute the Fourier transform. But we do it anyway.
Ahhhhhh... but Fourier transforms are linear! So F(X1X2 +X3 +...) = F(X1) + F(X2) + F(X3) + ....
Here, Xi is a column with Q elements, that is zero everywhere, but has a "1" for row xi. So because of the linearity of the Fourier transorm, we can do just one case per classical computer and later, when we measure, we sum over all states, and get the right answer.
Unfortunately a Fourier transform would need a Q*Q matrix. and Q is a huge number, so we need to think further.
The Fourier transform that each term in the superposition has to do is of a very simple kind, it is a column of zero's, with just one non-zero value at position x.
The Fourier transform of that is:
Equation1
The column vector is huge, but its structure is extremely simple!

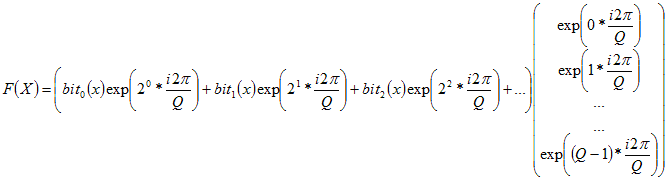
We can go even further. Again exploiting linearity, we break down x into its binary expansion (we look at its bits):

Equation 2
Now the answer looks like a couple of phase-shifted bits, all multiplied by the same huge, but very simple, vector. Can't we just ignore that vector?
Yes we can! The big vector does not contain any useful information.We just phase shift each of the bits by the specified amount physically, by a piece of hardware called a controlled phase shift gate.
Then, we measure the bits. They will give the correct period with a high probability, because all the other versions of the period interfere destructively on average.
This trick is called the Quantum Fourier transform. It is the key ingredient of Shor's algorithm.
Ready!
Below is an artist's impression of Shor's algorithm, which I use on Google plus to illustrate a post about this web site.
 
Artist Impression of Shor's algorithm

Why it won't work in practice

The quantum Fourier transform uses phase shifts exp(i2π/Q), where Q is a number with 2 times as many bits as N.
If Q is a very large number, then this phase shift is extremely small, say exp(i 0.000000000000000000....3567484...)
LIGO, the machine that detected gravitational waves, manages to detect a phase change of something like 10-20. But LIGO only had to distinguish this phase change from zero. A quantum Fourier transform needs that phase shift also to be very accurate, otherwise the interference will get messed up. And, it is currently standard to have 4096 bits of Q, how will you ever do phase shifts that small and that accurate? 
Even so, we should continue working on quantum computers, they are so interesting that something will come out, although perhaps not cracking RSA in a practical sense.
 
I'm of course not the only one explaining this. I won't give all the links, since they are easy to google. But this one by Scott Aaronson is pretty nice.