A formula
for the N-circumsphere of an N-simplex .
G.Westendorp
april 2013
We show
that the circumradius and circumcentre of the N-circumsphere
of an N-simplex
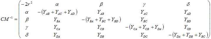
are obtained directly from elements of the inverse (CM-1)
of the Cayley
Menger
matrix (CM
)
for
the N-simplex.
In 3
dimensions, if:

Then (α, β,
γ,
δ)
are the 4
barycentric coordinates of the circumcentre and r is
the circumradius. This generalises to N-dimensions
in
a straightforward manner.
Our formula
provides a compact expression for the circumcentre and circumradius
that it is
coordinate independent in the sense that it requires only the squared
distances
between the vertices. We will use the conformal model of geometric
algebra for
the proof, but the equation itself uses only the Cayley-Menger matrix.
An N-circumsphere
is an N-dimensional
sphere,
that passes through the (N+1)
points of an N-simplex.
In 2 dimensions, it is most easily visualised and corresponds to the
circumcircle.

The
circumcircle of a triangle,
with the barycentric coordinates (α, β,
γ)
of the circumcentre shown as areas of 3 subtriangles,
opposite to the vertices (A,B,C) respectively.

|
|
Eq
1
|
(x,y,z)=
α(xA,yA,zA)
+ β(xB,yB,zB)
+ γ
(xC,yC,zC)
+ δ
(xD,yD,zD)
|
Eq
2
|
To prove
this, we will use the machinery of conformal
geometric algebra. We refer to
[1] for an explanation of the
terminology
and principles of conformal geometric algebra. An important reason it
is useful
for our problem, is that the internal product of 2 points in the
conformal
model is equal to -1/2 times the squared distance between the
corresponding Euclidean
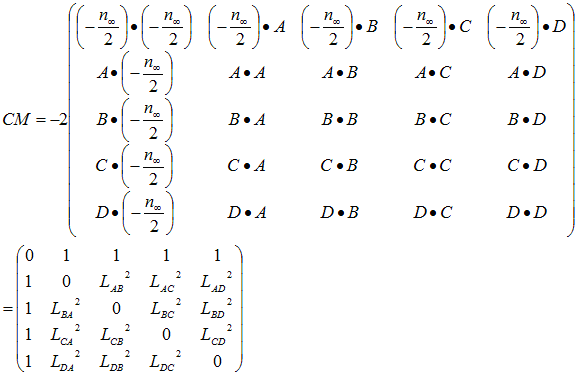
points. Using this fact we can see that the Cayley-Menger matrix is -2
times to
the Grammian
matrix of the 4 points (A,B,C,D)
of the tetrahedron, together with minus half the ‘point at
infinity’ (-n∞/2):
|
|
Eq
3
|
Next, we
use another nice feature of conformal geometric algebra, that a sphere (X)
through points (A,B,C,D)
is given by the exterior product of these points:
X=A^B^C^D
(ie.
the sphere is the set of
points (p)
that satisfy p
^ X
= 0)
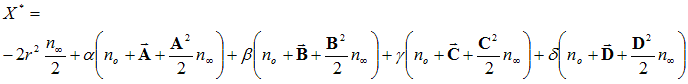
The circumcentre
and circumradius can be found by computing the Hodge dual of X* of
X.
The Hodge dual of a sphere with
radius (r)
and centre (
) has the
form:
|
|
Eq
4
|
So from the
Hodge dual, we can read of the centre as the Euclidean part, and then
use the (n∞) component to obtain r2
The
computation of X*
uses the
contraction (┘) with
the pseudoscalar
and the expansion of a
point P
in into its Euclidean part and the
extra dimensions (no)
and
(n∞):


The determinant terms
in the above expansion of the X*
correspond to the cofactor expansion for the inverse
of top row of CM,
so we can replace
these determinant terms with the coefficients from Eq 1:

(Eq 5)
Comparing the
Euclidean parts of equations 4 and 5, we find the expression for the
centre (
):
|
|
Eq
6
|
We can
verify that the n0
components of equation 5 add to 1 by noting that:

To justify
that we labelled element (1,1)
of CM-1
as -2r2,
we first check that if the circumcentre is at the origin, then the n∞
component
of X*
according to Eq 5:
This is
indeed the correct value for the dual a circumsphere at the origin.
(We used
.)
So our
expression for CM-1(1,1)
is valid if the sphere is at
the
origin. But the
elements of the Cayley-Menger matrix are invariant under translations,
and so
is the circumradius, therefore the element (1,1)
must
remain equal to -2r2.
Finally, we
mention an interpretation of the other terms (Yij)
in equation 1.
The original motivation for this work was in fact to find an expression
for
resistance values in terms of squared lengths for N-simplexes
that discretise
a conducting
medium. As we discuss in another
webpage,
Yij
=1/Rij
, where
Rij
is the effective resistance value between vertices i
and j
of the N-simplex.
(Assuming unit specific conductivity of the medium)

Illustration
for the interpretation of Yij
=1/Rij
as the effective conductance
values for simplicial
discretisation
using electric circuits.
Appendix:
A proof adapted from a 1930 article by Coxeter.
Max Goering
brought a 1930 article by Coxeter
[2] to my attention. Coxeter
does not
actually
mention the Cayley
menger
matrix or its inverse, but from his article I was able to construct the
following proof, requiring no conformal geometric algebra. We will show
that the N-dimensional
sphere
containing all (N+1)
points of
an N-simplex, is found directly from the inverse of the Cayley
Menger matrix of the simplex.
In an (N+1)
dimensional Euclidean space, let Xi
be (N+1)
linearly independent
vectors. A point (P)
may be
expressed using Einstein summation convention as:
P = xiXi
The Xi
also
define the vertices of an N-simplex
embedded in (N+1)-dimensional
space.
The condition, Σxi
= 1 defines an N-dimensional
subspace, embedded in N+1
dimensions. The xi
are
“barycentric coordinates” of this N-dimensional
subspace, they are weights
such that a coordinate in the N-dimensional
space is the weighted sum of the vertices of the N-simplex.
The set of
conditions
0 <= xi
<=1
tell us
if a point is inside the simplex. This can be very useful!
Let L2ij
be the squared
distance
between 2 vertices (i
and j)
of the simplex.
The
distance (PQ)
between 2 points (P,Q)
with barycentric coordinates (pi
and qj)
inside the N
simplex is:
-2PQ2
= Σij ((pi-qi)(pj-qj) L2ij)
(eq A1)
So -½L2ij
is a
bit the
metric tensor for barycentric coordinates, except that barycentric
coordinates have one superfluous element.
This is
proved by Coxeter,
but it may be quickly
seen by
noting that
it is obviously true for any 2 vertices themselves. (The factor 2
arises
because the distance occurs twice in the symmetric sum) But the squared
length
must be linear in the coefficients pi
and qj,
so expression (A1) must be true.
Now let us
find the circumsphere, barycentric coordinates (xi)
and radius (R).
The
condition may be written:

The top
line of the matrix multiplication expresses Σxi
= 1. The
other lines express the condition,
using (A1), that the distance between
the
circumcentre and a vertex is
R2.
We
recognise the matrix in the above expression as the Cayley
Menger
matrix (CM),
whose determinant is used to compute the N-volume
of a simplex.
Now, by
using the inverse CM-1
we find our result directly:

-> CM-111 = -2R2
xj = CM-11(j+1)
References:
1. Dorst,
L. et al (2007), Geometric Algebra for
Computer
Science, Morgan-Kaufmann. ISBN 0-12-374942-5
2. The
Circumradius of the General Simplex, H. S. M. Coxeter,
The
Mathematical Gazette, Vol. 15, No. 210
(Dec.,
1930), pp. 229-231